分子軌道法の簡単かつきわめて有用な応用に,共役
電子系に対する Hückel 法がある。
共役
電子系とは,一重結合と二重結合が交互に現れるような系である。(副読本 pp. 142〜162)
LCAO 分子軌道 
エネルギー期待値

i=1n
j=1nci*cjSij =
i=1n
j=1nci*cjHij
が最小になる ci の組を求める
が必要 → 永年方程式
が求められたら,先の連立方程式と規格化条件とから ci を求める
共役二重結合系の炭素鎖を対象とする。よって,骨格を構成する要素は全て同種原子である。
仮定として,
結合と
結合とを全く独立に取り扱う。その中で,
電子系のみに着目する。つまり,原子軌道として p 軌道のみを考慮する。
Hii =
とおく(全ての i で同じ値)
Sii = 1 である(規格化条件)
近似その 1 i
j のとき Sij = 0
近似その 2 i j のときで i と j との間に結合が
|
|
n 個の原子軌道から n 個の MO が出来る。
基底状態では,エネルギーの低い MO から順に 2 個づつの
電子が占有。
電子間反撥を無視した場合の全
電子エネルギー E
電子密度 qr
sp2 混成軌道は C-C の
結合と C-H 結合に使われ, p 軌道は
結合に使われる。炭素 1 と 2 の p 軌道の波動関数を
1,
2 とする
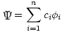
分子軌道
永年方程式
2 - 1 = 0
=
1 から直ちにエネルギー準位が判る
< 0 であるから,
= -1 の方が基底状態である。
電子は 2 個なので,基底状態の MO に二つの電子が入る
MO 法による水素分子と酷似している。
|
永年方程式
電子は 4 個有るので,一番下と下から 2 番目の準位に二つづつの電子が入る
電子エネルギーはエチレン 2 個分の 4(
+
)
|
演習問題
電子系に対する単純 Hückel 法とはどのような近似法か説明せよ。
電子について,単純 Hückel 法を用いて考察する。
電子エネルギーを求めよ。
電子について,単純 Hückel 法を用いて考察する。
電子エネルギーを求めよ。
電子密度を求めよ。
電子について,単純 Hückel 法を用いて次の関数及び量を求めよ。
電子エネルギー。非局在化エネルギー。各炭素原子の
電子密度。各結合の次数。
電子エネルギー。非局在化エネルギー。各炭素原子の
電子密度。各結合の次数。
電子について,単純 Hückel 法を用いて次の関数及び量を求めよ。
電子エネルギー。非局在化エネルギー。各炭素原子の
電子密度。各結合の次数。