A-8 座標変換
A-8.1 直交曲線座標
(x,y,z)
(q1,q2,q3) の座標変換を考える。 x, y, z 方向の単位ベクトルを i, j, k とする。例えば x は q1, q2, q3
の関数として表すことが出来るから
あるいは 
方向を表す単位ベクトル ai (i = 1,2,3) は, qi = const. の面に垂直で qi の増加する方向にとる。
dx は次のようになる。(dy, dz も同様に書ける)

さて,微小距離 ds の 2 乗は

ただし,相互に垂直な曲面群で構成される座標系に話を限ると i≠j のとき h
ij = 0 である。これ以降 h
ii = h
i と書く ことにする。

よって体積要素 d

は

J は Jacobian と呼ばれ,次のような行列式である
A-8.2 微分ベクトル演算子
スカラー関数
(x,y,z) がある時その勾配は次のベクトル関数 grad
である。

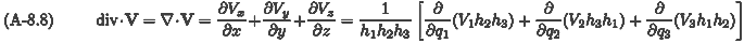
ベクトル関数 V(x,y,z) の発散は次のスカラー関数 divV である。

ここで V = grad

とすれば Laplacian の表式を得る。

ついでながらベクトル関数 V(x,y,z) の回転は次のベクトル関数 rotV である。
演習問題
- デカルト座標で考える。
- ベクトル微分演算子
はどのようにかけるか。
- Laplacian
2 はどのようにかけるか。
- デカルト座標 (x,y,z) を別の直交座標系 (q1,q2,q3) に変換する。
方向を表す単位ベクトル ai (i = 1,2,3) は, qi = const. の面に垂直で qi の増加する方向にとる。
- dx, dy, dz を dqi で表せ。
-
ds
2 = dx
2 + dy
2 + dz
2 を dq
i と h
i で表せ。ただし

であり,直交座標系では i≠j のとき h
ij = 0 であるので h
ii = h
i と書く。
- dxdydz を dqi と hi で表せ。
- ベクトル微分演算子
はどのようにかけるか。
- Laplacian
2 はどのようにかけるか。