6: 多次元系
一次元の箱の中の粒子の問題は, Schr
dinger 方程式の解法の典型的な例であるが,
実際の箱の中の粒子の問題に当てはめるためには,問題を三次元空間に拡張する必要がある。
このモデルは,理想気体の性質の計算に利用されている。
6.1 三次元の Schr
dinger 方程式 〜デカルト座標〜
質量 m の粒子が三次元ポテンシャル V (x,y,z) 中を運動する場合の Schr
dinger方程式

はナブラといいデカルト座標では次のようなベクトル演算子である

ここで, i, j, k はそれぞれ x, y, z 方向の単位ベクトル。
2 はラプラシアンといい,

を 2 回はたらかせたもので,デカルト座標では

となる。
6.2 三次元の箱の中の粒子

境界条件は,箱の壁のところで波動関数がゼロ。
変数分離で方程式を解くことができる。
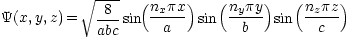
(x,y,z) = X(x)Y (y)Z(z) とおけると仮定する。
Schr
dinger 方程式に代入 して両辺を
(x,y,z) = X(x)Y (y)Z(z) で割って整理すると

左辺は x のみの関数で右辺は x に無関係なので,両辺は定数に等しくなければならない

等々と進めていくと次の3つの方程式が得られる
ただし

境界条件を書き直すと X(0) = X(a) = 0, Y (0) = Y (b) = 0, Z(0) = Z(c) = 0
つまり,方程式も境界条件も一次元の場合と同じものが 3 つ
それぞれの解法は一次元の場合と同様なので,箱の内部で
エネルギー準位は
規格化条件

全空間に関して積分する場合,次元に関係なく d

という記号を使うこともある。この場合 d

= dxdydz であり

のように使う。
トータルの波動関数
立方体の場合 a = b = c
N = nx2 + ny2 + nz2 = 6 の状態は (1,1,2), (1,2,1), (2,1,1) の 3 種類ある
3 重縮退
立方体の中の粒子の縮態度 
| N |
 |
N |
 |
| 3 |
1 |
14 |
6 |
| 6 |
3 |
17 |
3 |
| 9 |
3 |
18 |
3 |
| 11 |
3 |
19 |
3 |
| 12 |
1 |
21 |
6 |
6.3 三次元の Schr
dinger 方程式 〜極座標〜
問題によっては,デカルト座標以外の座標系を用いる方が便利なこともある。例えば,ポテンシャルが球対称である場合には極座標がよく使われる。
6.4 極座標

ラプラシアンの極座標表示
Schr
dinger 方程式の極座標表示
もしもポテンシャルが原点からの距離 r =
(動径)のみで決まるとすれば,
Schr
dinger 方程式は,角度部分と動径部分に変数分離できる。
として
左辺は r のみ,右辺は

,

のみの関数なので,両辺は定数

に等しいはずである。
さらに

とすれば,変数分離の定数を a と置くと
極座標を用いた応用例は,分子の回転運動,水素原子中の電子の運動を考察する場合に述べる。
演習問題
-
次の二次元ポテンシャル V (x,y) 中の質量 m の粒子の運動について。
- Schr
dinger 方程式を書け。
- どのような境界条件が課せられるか。
- 規格化された波動関数とエネルギー準位とを導け。
- a = b のとき,最初の 5 つの準位の縮重度を求めよ。
- 粒子の位置の期待値を量子数の関数として計算せよ。
- 粒子の x, y 座標の分散を量子数の関数として計算せよ。
- 粒子の運動量の期待値を量子数の関数として計算せよ。
- 粒子の運動量の x, y 成分の分散を量子数の関数として計算せよ。
- 粒子の運動エネルギーの期待値を量子数の関数として計算せよ。
- 粒子が 0 < x < a/3, 0 < y < b/3 に見いだされる確率を量子数の関数として計算せよ。
- 粒子が a/3 < x < 2a/3, 0 < y < b/3 に見いだされる確率を量子数の関数として計算せよ。
- 粒子が a/3 < x < 2a/3, b/3 < y < 2b/3 に見いだされる確率を量子数の関数として計算せよ。
- (10), (11), (12) の結果を古典論と比較せよ。
- 基底状態と第 1 励起状態について, x = a/2 の断面での粒子の存在確率の y 依存性を図示せよ。
縮退がある場合には独立な全ての状態について描け。
- 基底状態と第 1 励起状態について, y = b/2 の断面での粒子の存在確率の x 依存性を図示せよ。
縮退がある場合には独立な全ての状態について描け。
- 三次元のポテンシャルのない無限に広がった空間に質量 m の粒子がある。
- 運動量ベクトルの演算子はどのように書けるか。
- 運動量ベクトルの演算子の固有関数はどのような関数か。
- 縮態度について。
- 三次元立方体の中の粒子について, nx2 + ny2
+ nz2 が 1 から 100 までの状態の縮退度を計算する
FORTRAN プログラムを作成して実行せよ(縮退度はゼロにもなるものとする)。他のプログラミング言語でもかまわない。
- 二次元正方形について (1) と同様の計算を行え。
- 独立な座標 q1 と q2 がある。
ハミルトニアンが
(q1,q2) =
1(q1) +
2(q2) の形に書き表すことができ
また
1
1(q1) = E1
1(q1),
2
2(q2) = E2
2(q2) であるとする。
- 固有関数が
(q1,q2) =
1(q1)
2(q2) であることを示せ。
- 固有値が E = E1 + E2 であることを示せ。
- ベンゼン(環状,
電子 6 個)の最長吸収波長は 255 nm である。
- 二次元(正方形)の自由電子モデルを用いて
電子を近似した場合,辺の長さを見積もれ。
- 円環をまわる粒子のモデルをベンゼンの
電子系に適用し,
電子環の半径を見積もれ。
- ナフタレンには
電子が10 個ある。
- 辺の長さの比が 1:2の長方形の箱の中の粒子の波動関数を用いて
電子を近似した場合,
短い辺の長さを a として最長吸収波長はどのように表されるか。
- 最長吸収波長の実験値 ( 320 nm ) から a を見積もれ。